
化學所特聘教授劉如熹研究團隊成果:革命性近紅外螢光材料以結構創新與機制演進開啟應用新篇章 榮登國際頂尖期刊
瀏覽器版本過舊,或未開啟 javascript
請更新瀏覽器或啟用 javascript
牛樟芝(Antrodia cinnamomea)24 個月樣本之子實體(圖片引用自 doi:10.1093/ecam/nep108)
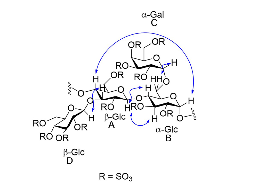
N50 F2 的推定重複單元:一種源自牛樟芝的硫酸化半乳葡聚醣。
合作團隊成員(左到右):林東毅教授、盧美光教授、張嘉銓教授。
臺灣大學藥學系教授張嘉銓、陽明交通大學中醫系教授盧美光與傳統醫學研究所所長林東毅發現1種隱藏在有國寶美譽的牛樟芝中、具有發展潛力的化合物。牛樟芝是臺灣獨有的藥用真菌,在傳統草藥中廣為人知,但大都認為其活性來自三萜類或是馬來酸及琥珀酸衍生物等小分子成分。團隊的研究結果顯示,這種真菌產生特定的醣類分子,是否有可能在癌症治療和發炎控制中發揮作用?值得後續持續研究關注。
經由在富含硫酸銨且經過完全控制的培養環境中培養牛樟芝,盧美光教授團隊發現能夠刺激此真菌產生一種特殊的分子,稱為硫酸酯化多醣 (SPS)。在提取的數個化合物中,其中1個 (稱之為N50 F2),具有顯著的生物活性。
林東毅教授團隊經由體外細胞實驗測試證實,N50 F2能夠顯著降低關鍵發炎因子的血中濃度,例如IL-6和TNF-α等這些通常在許多疾病中升高的因子。此分子透過降低觸發免疫細胞反應過度信號通路的速度來產生作用。這種抗發炎的特性,被證實可能可用於管理與免疫功能障礙有關的慢性疾病。
此外,N50 F2在肺癌細胞中展現出強大的抗癌活性。該化合物不僅阻止癌細胞生長,還觸發它們的細胞凋亡 (apoptosis--一種細胞自我毀滅的現象) 的過程。這種經由影響數種與癌症相關的蛋白質和途徑,為開發新穎抗癌療法的重要策略之一。
張嘉銓教授團隊研究該化合物的結構,發現它是一種獨特的醣分子(1種硫酸化的半乳葡萄多醣)。此分子是由葡萄糖和半乳糖單元和硫酸酯基所構成,且其特定的結構很可能是其生物活性的關鍵。
合作團隊的研究證明天然真菌化合物在藥物開發中的潛力。經由完全控制的生產和萃取過程,各團隊皆對在健康補充劑和臨床治療中的未來應用相當樂觀。期待未來能有更多的研究,證實其在動物實驗及人體中的功效。
研究成果全文:https://www.sciencedirect.com/science/article/pii/S0144861725005934
當期焦點